Our products: vertical turbine pump, vertical wet pit pump, vertical oil sump pump, vertical condensation pump, right Angle gearbox
发布时间:2021/1/15 11:55:54
浏览次数:
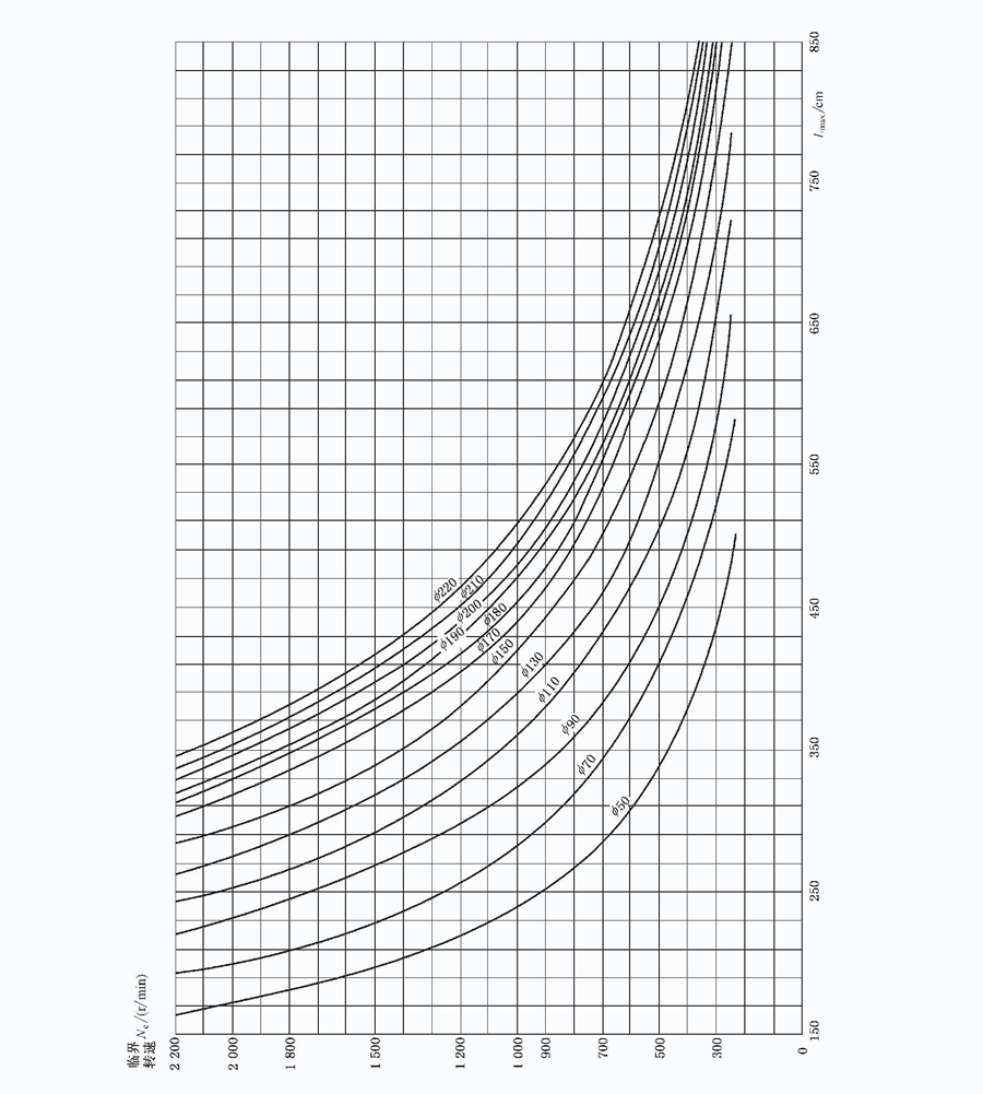
Maximum bearing span and critical speed curves of vertical long-axis pumps: HLB, HLBK, HLKT, HLBS, HLKS, etc., vertical long-axis pumps, long-axis oblique flow pumps, vertical oblique flow pumps, maximum bearing span and critical speed curves, for reference only, subject to the actual object!

Copyright © 2002-2022 Hunan machinery manufacturing co., LTD. All Rights Reserved.
+8618507312158
WeChat Qr Code